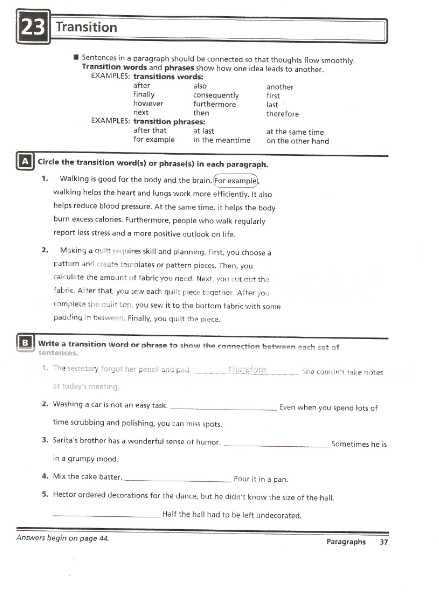
(Copied from the worksheet)
Sentences in a paragraph should be connected so that thoughts flow smoothly. Transition words and phrases show how one idea leads to another.
Examples:
________Transitional Words:
________after________also________another
________finally____consequently_____first
________however__furthermore______last
________next________then_______therefore
Examples:
________Transitional Phrases:
________after that________at last________at the same time
________for example___in the meantime___on the other hand
Here is the worksheet (click for a bigger picture):
NaNoWriMo
A guild for participants in NaNoWriMo -- 30 days and nights of creating a one of a kind novel!
